Formulas
In this section, we review how to add accessible formulas to your content, including math equations or science formulas using LaTex or MathType.
What Do You Need To Do?
There are several ways to handle equations, from images with ALT tags to MathML. Having access to an equation editor such as MathType or MathMagic can streamline the processing and conversion of equations considerably. These tools are similar to equation editors found in the ANGEL HTML Editor and Microsoft Office.
MathML
Math ML is a text-based XML markup language designed for math equations. Browsers that support MathML are able to translate the XML into a formatted equation. Since MathML with MathJax can be rendered in many systems, including HTML, it is considered the best choice for accessibility.
MathML may vary from system to system and the content can change rapidly.
Image with ALT tag
Another option is to create an image of an equation (or export it from an equation editor) and then insert the image into a document with an ALT tag (See Add Captions to Images). However, complex equations may require alt text descriptions longer than the recommended 125 characters. For complex equations, consider using MathML.
Note: ALT tags can be written in Nemeth MathSpeak for students who have learned that system.
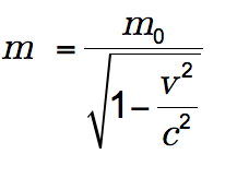
Example 1– an equation in HTML:

The equivalent ALT tag:
ALT= “m equals begin fraction m sub 0 over begin square root 1 minus begin fraction v sup 2 over c sup 2 end fraction end square root end fraction”
LaTeX
LaTeX is a math markup language familiar to many in the science and math community. It is not currently supported by screen reader technology. However, it is fairly simple to convert LaTeX to an image or MathML in most equation editors.
To import LaTeX, follow these steps in MathMagic and MathType:
- Copy a piece of LaTeX code such as
m &= \frac{m_0}{\sqrt{1-\frac{v^2}{c^2}}}
into an equation editor’s main editing window. - The equation should appear fully formatted. Make minor adjustments as needed.
During user testing at BCcampus, students indicated that it would helpful to have an audio file of the formula or equation. The audio file would be placed beside the formula or equation and would allow the user to hear exactly how the formula or equation is interpreted.